如何使用SOLIDWORKS畫齒輪
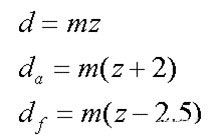
齒輪是應用非常廣泛的傳動件,用以傳遞動力和運動,并具有改變轉速和轉向的作用,故而進行齒輪建模,是練習和掌握建模工具的最好方式。SOLIDWORKS中雖然提供了大量的齒輪模型庫,但是有很多時候是不符合我們的需求的,這里我就給大家介紹一種簡單的齒輪畫法,適合初學者學習使用。此次的例子為齒輪的繪制過程,繪制齒輪的模數為:m=2mm、齒數為:z=40mm、通過計算公式分別為分度圓直徑、齒頂圓直徑、齒根圓直徑。

通過公式計算可得:d=80mm、da=84mm、df=75mm。
1)選擇前視基準面->繪制齒頂圓的圓形

2)選擇特征->凸臺拉伸->拉伸深度為10mm

3)繪制如圖所示的草圖
①繪制角度需要通過360/z/4計算(z為齒輪的齒數);
②為與分度圓相切的一條構造線;
③由于齒輪的壓力角為20°所以需要繪制一條與②夾角為20°的直線;
此時③與齒輪的分度圓有兩個交點,繪制圓心在此直線上的圓,且圓過這兩個交點,利用剪裁功能剪掉多余的部分線條。

4)選擇特征->切除拉伸:方式為完全貫穿

5)選擇特征->圓角:設置圓角半徑為0.5mm

6)選擇特征->圓周陣列->設置陣列個數為齒數40個

7)繪制圓形并拉伸切除

8)繪制如圖所示的草圖

9)選擇特征->拉伸切除:完全貫穿

10)對繪制好的圖形利用photoview360渲染

完成上述步驟后,您就已經在SolidWorks中成功繪制了齒輪。
免責聲明:本文系網絡轉載,版權歸原作者所有。如涉及版權問題,請與慧德敏學聯系,我們將及時協商版權問題或刪除內容。部分圖片源于網絡侵刪。
